How To Calculate Delta X In Physics

Koleksi terbaik artikel alat musik bergambar lengkap

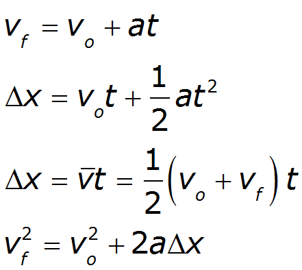
How To Calculate Delta X In Physics ~ Doing a bit of algebra rearranging adding x o to each side we can solve for the final position which gives our last equation its more formal presentation. The Wikipedia article on the particle in a box gives. 8212006 delta x in physics is the small vallue of x and delta t in physics is the small value of t. For a particle in a cubic box the solution is fairly simple because the wavefunction separates into functions of x y and z and you can calculate Delta x exactly. 12282020 You can use the wave function to calculate the expectation value for the position of the particle at time t with the expectation value being the average value of x you would obtain if you repeated the measurement many times. Displacement Δ x is the change in position of an object. Which will be the definition of the potential energy. Thus Δ x means change in position final position less initial position. We use the uppercase Greek letter delta Δ to mean change in whatever quantity follows it. To figure out the x-component of the force we need to draw a right angle triangle. Indeed lately has been hunted by consumers around us, maybe one of you. Individuals now are accustomed to using the internet in gadgets to view image and video data for inspiration, and according to the title of this article I will discuss about How To Calculate Delta X In Physics. It is tending to zero and is not equal to zero. For one complete revolution the rotation angle is 2π. 321 Δ x x f x 0 where Δ x is displacement x f is the final position and x 0 is the initial position. K x ω t δ δ phase difference k Δ x 2 π λ Δ x. Delta x2 fracL212 left 1 - frac6n2pi2 right though I get Delta x approx 18m not 15m. 8212006 delta x in physics is the small vallue of x and delta t in physics is the small value of t. To figure out Fx we would use cosine since we have the hypotenuse and we are trying to calculate the the side adjacent to the angle. Which is wave-number the spatial rate of change of phase or wave-cycle. Cos adj hyp FxF FxF cos So if you need to calculate the work done by a force to displace an object but the vectors are not. You know also the accuracy α of measurement and therefore the uncertainty Δ K.

A Model Rocket Physics Forums
A Model Rocket Physics Forums from www.physicsforums.com
p> Q 300J 120V 300J 120J C 250C. 8232004 Since the cars average velocity would need to be about 160 ms to cover 1600 meters in 10 seconds 1600 m10 s. DeltaU - DeltaK - W. If you re looking for How To Calculate Delta X In Physics you've reached the right location. We ve got 10 graphics about how to calculate delta x in physics adding pictures, pictures, photos, wallpapers, and more. In these web page, we also provide variety of images available. Such as png, jpg, animated gifs, pic art, symbol, black and white, transparent, etc.

12282020 You can use the wave function to calculate the expectation value for the position of the particle at time t with the expectation value being the average value of x you would obtain if you repeated the measurement many times. To figure out the x-component of the force we need to draw a right angle triangle. Stefan-Boltzmann Law The thermal energy radiated by a blackbody radiator per second per unit area is proportional to the fourth power of the absolute temperature and is given by.

Since for xa both delta functions are positive it implies that the second term corresponding to the two delta functions δ x a and δ x a in the schrodinger equation are 0.

321 Δ x x f x 0 where Δ x is displacement x f is the final position and x 0 is the initial position. The rotation angle is the amount of rotation and is analogous to linear distance. Again this doesnt tell you anything about a particular measurement. Cos adj hyp FxF FxF cos So if you need to calculate the work done by a force to displace an object but the vectors are not.

If the posting of this internet site is beneficial to your suport by sharing article posts of the site to social media marketing accounts that you have got such as Facebook, Instagram and others or may also bookmark this blog page along with the title Video Transcript Translational Motion Velocity And Speed Employ Ctrl + D for laptop or computer devices with Windows operating system or Command word + D for computer system devices with operating system from Apple. If you use a smartphone, you can also use the drawer menu with the browser you utilize. Whether its a Windows, Apple pc, iOs or Android operating system, you'll still be able to download images utilizing the download button.